产品中心
全国服务热线
400-875-1500
400-875-1500
销售热线:13720093566

扫一扫,添加销售经理
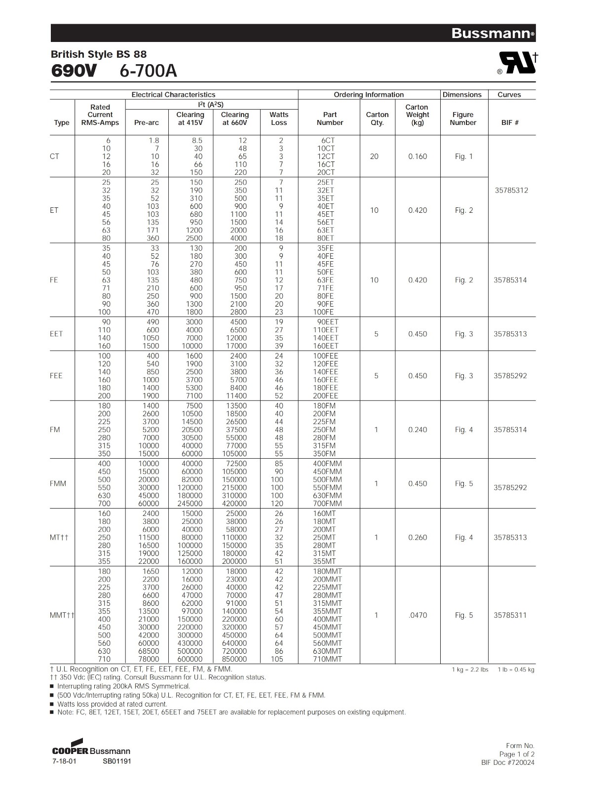
FM系列快速熔断器
库存料号:200FM
FM系列熔断器描述:
UL识别CT, ET, FE, EET, FEE, FM, FMM。
350 Vdc (IEC)评级。向Bussmann咨询美国劳工联合会的认可情况。
n中断额定值200kA均方根对称。
用于CT、ET、FE、EET、FEE、FM和FMM的ul识别。
额定电流提供n瓦的损耗。
注:FC、8ET、12ET、15ET、20ET、65EET、75EET可用于替换现有设备。
分享至:
- 产品介绍
- 视频中心
- 相关证书
- 样品申请
- PDF下载



上一篇:ET系列IGBT?;た焖偃鄱掀?/a> 下一篇:MDA系列6*30延时保险管






销售热线




















